-
吴艺鹏 潘积国 焦 君 刘玉猛 何 波 孙旭东
(青岛特殊钢铁有限公司炼铁厂山东青岛266200)
摘 要 为探索适合青岛特钢2号高炉顺行稳定的装料制度,本文就布料矩阵、批重、料线等三个制度(角度),对青岛特钢2号高炉布料参数进行计算,分析这三个因素径向矿焦比的影响,以进一步分析布料参数对高炉顺行的影响。经过计算分析建议青岛特钢2号高炉,料线应控制1.3-1.5m,应控制最大布料角度为40°,矿批45t、焦批8.38t,布料矩阵为C。调整后,运行三个月,高炉炉况顺行,经济技术指标优良。
关键词 高炉 装料制度 布料矩阵 落点 批重 料线
在高炉生产中,煤气流分布的调整和控制是高炉操作的重要内容之一。煤气流分布关系到炉内温度分布、软熔带结构、炉况顺行以及煤气热能与化学能的利用状况,最终影响到高炉冶炼的技术经济指标,并对高炉寿命有着重要影响。[1-3]煤气流在高炉炉内经过三次分布,其受炉料分布的制约,而装料制度对炉料分布起决定作用。因此研究高炉布料规律,有利于指导布料操作,优化炉料分布,从而改善煤气流分布。[4]对青岛特钢2号高炉的装料制度参数进行计算分析,为高炉布料操作提供指导,为高炉现场布料操作提供理论参考依据,稳定高炉炉况顺行,促进高炉长寿,提高冶炼效率。
本文就布料矩阵、批重、料线三个角度,对青岛特钢2号高炉装料制度参数进行计算,研究三个因素对径向矿焦比的影响,以此反映目前青岛特钢2号高炉的炉型及原料条件和操作条件下,径向矿焦比对高炉顺行的影响。
1 青岛特钢2号高炉炉料落点计算
根据青岛特钢2号高炉的无钟炉顶设备参数,计算各溜槽倾角、不同料线深度所对应的落点半径。表1为无钟炉顶布料落点半径计算所需要的设备参数。青岛特钢2号高炉在不同料线深度下各溜槽倾角的落料落点半径计算值如表2所示,料流轨迹如图2所示。

1.1 布料落点计算
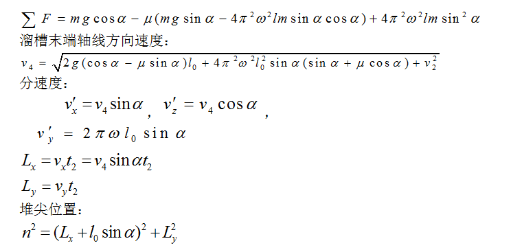
设炉料从导料管落入以速度旋转的溜槽,一块炉料质量为m,重量为Q,进入溜槽沿溜槽方向的初速度为v2,炉料在溜槽某点的速度为v(m/s),炉料在溜槽末端沿溜槽旋转切线方向的速度为v3 (m/s),炉料在溜槽末端沿轴线方向的速度为v4 (m/s),炉料与溜槽的摩擦系数为,溜槽长度为,溜槽倾角为α,则分析炉料在溜槽上所受的力如下[5-7]:
重力:mg
离心力:





根据表2及图2可知,在1.5 m料线时,41°溜槽倾角下炉料会布到炉墙,料线在1.3-1.5m范围内,应控制最大布料角度在43°以内。2号高炉的炉喉高度为2m,在2m以下炉身逐渐外扩,加之2号高炉已经运行近3年,炉身的砖衬磨损使得半径进一步增大,因此实际最大溜槽角度略大于上述计算的角度,进一步考虑料流厚度建议最大布料角度为40°。
2 布料矩阵对高炉布料影响的研究
利用上述布料落点计算结果,对青岛特钢2号高炉矿批43t、焦批8t、料线1.5m条件下,对表3中两种布料矩阵进行计算分析,图3为两种布料矩阵径向矿焦比的变化趋势图。
为对比不同高炉布料操作,分析装料制度的特点[8-9],根据刘琦老先生提出的几个重要布料参数,对这一新概念进行说明如下。




如图2计算分析可知,中心加焦使在距离中心1~1.5m的部位存在明显的无矿区,可以提高中心透气性,自中心向边缘,矿焦比逐渐增大,中间区(1.6m)附近矿焦比开始增大,至2.6米附近矿焦比达到最大,呈现“凸起”,随后略有下降,因此建议采用第二种布料矩阵。
3 批重对高炉布料及顺行的影响
高炉原料的变化影响着高炉生产操作,如何根据原料的变化,确定合理批重是高炉上部调剂的重要内容。杜鹤桂[13]研究批重对透气性的影响时发现,随着高炉矿焦层厚度的增加软融带的压差增加,料柱的总压差先降低后升高。气体压力损失升高的趋势愈大,矿批增加就越困难。刘云彩使用炉料批重特征曲线确定钟式布料炉料批重范围,认为批重特征曲线分为激变区、缓变区和渐变区,批重的调整应在渐变区调整,才有利于高炉顺行操作。[2]
3.1 青岛特钢2号高炉的批重特征曲线
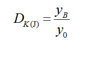
一批炉料在炉内的料面分布是规则的,其边缘与中心的厚度规定了一批料分布的形状,两者厚度之比yB/y0反映了这种炉料在炉内分布的特点,在其他条件一定时,他是批重的函数。炉料在各处的分布随该值变化,该值越大,表示这种炉料在边缘分布的越多。设Dk是批重特征数,则:

依据刘云彩所著《高炉布料规律》中的算法,计算得到青岛特钢2号高炉的烧结矿批重特征曲线,见图4,青岛特钢现用矿批43t,处于一个缓变区,如果按照大矿批、减轻矿焦混合层以及提高软融带焦窗厚度的角度看可以再适当提高矿批及焦批[2]。
矿批处于缓变区时,批重调剂对高炉顺行、改善煤气利用率、甚至节能降耗均有重要意义。另外,当原燃料条件变差,粉末增多,料柱透气性恶化,处于缓变区的批重能够保证高炉顺行,在此区域内,在不改变矩阵料线的情况下,适当改变批重,可以调剂煤气分布。
批重的下限选择要考虑到保证软熔带下部焦窗有足够的厚度,按照经验,炉腰处的焦层厚度下限大约是200mm。按照青岛特钢2号高炉目前8t的焦批,不考虑焦炭收缩,则在炉腰处的平均焦窗厚度大约在210mm,所以目前的焦批、矿批可以适当增大。
3.2 不同批重下的矿焦比分布
2号高炉在目前43t矿批、8t焦批的条件下,整体负荷4.83,保持负荷不变,改变矿批,计算高炉径向矿焦比,作出变化趋势图5。随着批重的增加,增大批重使边缘略微加重,但平台区域的负荷更加“平滑”。如果考虑到减少矿焦混合层带来的好处,因此在原燃料条件允许的情况下,可以适当逐步增加焦批和矿批,建议采用45t矿批、8.38t焦批。[10-12]

4 料线深度对高炉布料及顺行的影响
对青岛特钢2号高炉批重43t/8t,在1.1m、1.3m、1.5m、1.7m、1.9m不同料线深度下矿焦比曲线的分布变化进行分析。

如果在布料矩阵不变化的情况下,改变料线深度,则布料的料面的径向矿焦比将会发生变化,这个规律在整个径向上并不是线性的,而是分段的。如果把高炉径向料面分为中心区(漏斗区)、平台区、边缘区,通过图6则可以发现如下规律:
(1)在中心区,随着料线深度的增加,中心矿焦比略微增加,平台宽度减小,漏斗变宽,即炉料滚落区域变大,滚落炉料量变大。同时,在实际生产中,滚落量会更大,因为料线深度增加后,料流落到料面的冲力能量更高,使得料面向中心滚落加剧,炉料堆角变小,“漏斗”趋于平坦。
(2)在中间区,随着料线深度的增加,平台区向外推移。
(3)在平台区,随料线深度的变化,平台区矿焦比略微增加,但是平台区宽度随料线深度增加而减小明显,中心区负荷的增加来源于平台区宽度减小的部分。
(4)整体上,随料线深度增加,平台向外推移,平台宽度变窄,同时漏斗深度变浅,宽度变大,中心和边缘负荷均增大。
5 生产实践
对青岛特钢2号高炉装料制度计算,根据计算分析结果,将料线设定为1.5m,矿批45t、焦批8.38t,布料矩阵为。经过2020年8-10月生产实践,高炉顺行,各部静压力分布合理且稳定,煤气流分布合理,调整后炉顶十字测温如图8,调整后高炉经济技术指标与2019年同期相比如表5。


6 总结
对青岛特钢2号高炉各角度不同料线的落点半径位置计算,并计算分析布料矩阵、批重、料线三因素对径向矿焦比的影响,经过计算分析建议青岛特钢2号高炉,料线应控制1.3-1.5m,应控制最大布料角度为40°,矿批45t、焦批8.38t,布料矩阵为。
青岛特钢2号高炉,按照建议的装料制度调后运行三个月,炉况顺行、各部静压力分布合理且稳定、煤气流分布合理,经济技术指标优良。
7 参考文献
[1] 邱家用,高正铠,张建良等.无料钟炉顶高炉中炉料流动轨迹的模拟[J].过程工程学报,2011,11(3):368-375;
[2] 刘云彩.高炉布料规律[M].北京:冶金工业出版社,2005,50-93;
[3] 项钟庸,王筱留.炼铁工艺设计理论与实践[M].北京:冶金工业出版社,2014,206-215;
[4] 刘琦.谈无料钟炉顶布料规律[J].炼铁,2007,12(6):8-14;
[5] 赵国磊,程树森,徐文轩等. 无钟炉顶高炉多环布料过程料流轨迹数学模型[C]. 中国上海, 2015.
[6] 李传辉,安铭,高征铠等.高炉无料钟炉顶布料规律探索与实践[J].钢铁,2006,41( 5) : 6-10.
[7] 张海刚. 面向指标优化的高炉料面建模与布料研宄[D]. 北京科技大学, 2017.
[8] 卢瑜,张明星,赵华涛.平台宽度对高炉径向料层分布影响的试验研究[J]. 上海金属, 2018, 40(03): 84-89.
[9] 陈黔湘,周健,刘清才. 高炉原燃料及布料矩阵对高炉料面形状的影响[J].重庆理工大学学报(自然科学), 2018, 32(12):93-98.
[10] 李壮年,储满生,柳政根. 大型高炉布料参数对煤气流的影响[J]. 材料与冶金学报, 2019,18(01):7-13.
[11] 李铄,韩枫,张杰等. 送风制度对高炉初始煤气流分布的影响[J]. 钢铁研究, 2014,42(05):1-4.
[12] 卢爽心. 攀成钢高炉无料钟布料规律研究[D]. 重庆大学, 2008.
[13]杜鹤桂,郭可中.高炉合理批重表达式[J].炼铁,19829(04):11-14.
(责任编辑:zgltw)







