-
黄发元
(马鞍山钢铁股份有限公司)
摘 要:某些高炉存在炉底漏煤气,有的高炉炉底板边缘上翘,严重影响高炉的长寿和安全生产。高炉是个大型压力容器,通过分析认为,炉底板不仅起密封作用,还作为压力容器重要组成部分,承载炉内气体压力等的巨大盲板力作用。随着高炉大型化、炉衬薄壁化、炉顶压力的提高,炉内压力作用于炉顶封罩、炉身等处向上的力通过炉壳对炉底板边缘造成竖向提升的力变大,炉衬薄壁化后作用于炉壳的向下的重力减小,并随炉龄增长内衬侵蚀冷却壁磨损而变小,难以抵消炉内压力造成对炉底板边缘的竖向提升力,而高炉大型化后炉底板直後变大其刚度又不够,抵抗形变的力不足,各种荷载效应组合作用,从而发生弹性变形和塑性变形而产生边缘上翘。降低炉内压力、增加作用于炉壳上的重力、增加炉底板刚度等会对炉底板边缘上翘产生有效的抑制作用,从而可避免炉底板边缘上翘。
关键词:高炉;炉底板;盲板力;边缘上翘
1 前言

2 高炉炉底板边缘上翘现象
该4000m³高炉于2007年2月建成投产,到目前己运行12年多,期间设备运行总体正常。2011年底,发现高炉炉底板边缘上翘。随后对炉底板上翘进行监测,2012年5月初炉底板上翘在50-110mm左右,没有漏煤气和温度异常情况;用吹氧管从边缘开口处插入深度在2500mm左右,此后监测发现边缘上翘有发展趋势,并且在高炉休风时上翘高度会略有下降,复风后又上升,到2015年,边缘上翘己达180mm左右,见图1。

2012年对炉底板上翘可能造成的问题进行了普查,发现以下现象:炉底板边缘上翘情况严重,边缘一圈与基础脱开,炉身上涨检测装置表明炉体向上位移明显;炉顶导出管补偿器以及风口送风支管补偿器变形严重,变形量己超出补偿器补偿范围;下罐与上方结构梁之间的空间由于高炉炉体向上位移己经变得非常小,影响下罐称量,需要割梁。分别见图2-图6。各种现象表明,高炉己整体向上位移,炉底板呈锅底状。

3 原因探析
开炉初期炉底板并未发生上翘现象,因此此次炉底板较大的上翘不是由于高炉开炉热膨胀导致。图1所示为该高炉炉底板上翘随时间的变化,而热风炉系统没有这种情况,因此应是高炉自身的原因引起炉底板上翘。两座高炉炉底板上翘情况相似,应有共性原因。为了探析何种原因导致高炉炉底板上翘,对高炉的荷载工况和受力分析如下:
高炉炉壳结构在特殊的工作条件下,与一般压力容器和钢结构有所不同,其荷载工况和受力状况十分复杂。该高炉为自立式框架结构,高炉本体与炉体框架脱开,煤气上升管、上料罐、热风围管等重量由炉体框架承载,通过波纹补偿器与高炉本体脱开。
按GB50567-2010[2],高炉壳体结构上的荷载可分为恒荷载、活荷载、偶然荷载三类。恒荷载包括壳体自重、固定在炉壳上的相关设备和内衬的重力等GK;活荷载包括炉顶料重、炉料重、铁水压力、气体压力、耐火砌材膨胀作用、煤气上升管膨胀反力、壳体内外温差时的应力;偶然荷载包括高炉坐料时产生的荷载。
3.1 “活荷载”一炉内气体压力对炉底板边缘的向上提升力Q1k
高炉是一个特大压力容器,往炉内持续鼓风时,炉内气体作用于炉壳径向各方向的力基本相等,高炉不会发生横向整体位移,会有少量的周向膨胀;炉内气体作用于高炉轴向的力,分为向上和向下一对力,轴向向下的力(炉底板的“盲板力”)作用于炉底板上,使炉底板紧贴于基墩,无法向下位移,而轴向向上的力作用于炉顶封罩、炉身内壁,使炉壳承受一个竖向向上的提升力,炉壳直径越大、炉内压力越大,竖向的提升力越大。这个力大到超过自立式高炉炉壳及其附属物的重力(恒荷载)与炉底板抗形变力之和时,炉壳就会受到一个向上位移的力,在这个提升力持续作用下炉底板会发生变形,使炉壳向上位移,带动炉底板边缘上翘,而炉底板中心在炉内气体向下的力和渣铁重力等作用下仍紧贴于基墩。
炉内气体压力作用的提升力与炉内压力、炉壳直径等有关。该4000m³高炉平均热风压力398kPa,短时炉内压力P=415kPa,炉顶压力228kPa,炉缸内型初始直径2r0=13.5m,炉缸侧壁炭砖目前残存厚度约700mm,炉缸半径至少扩大了500-1000mm,按500mm计,即炉缸直径2r2=14.5m,与炉底板连接的炉壳内径2rq=17.98m,近似计算,炉内压力使炉壳上升的纵向力Q1k约在5809-6702t之间。

3.2 “活荷载”炉缸侧壁耐材膨胀导致的纵向膨胀力F
炉缸耐材受热会膨胀,耐材热膨胀力在设计时己考虑了胀缝予以释放,正常膨胀一般不会导致炉底板边缘上翘。有人认为,炉料中的碱金属、铅、锌等有害元素在炉内大量富集时,对砖衬的渗透侵蚀和化学侵蚀可能会导致砖衬的“异常”膨胀。例如,钾与炭砖、陶瓷杯中的铝硅质灰分发生化学反应,生成白榴石和钾霞石,体积分别膨胀30%和50%[1]。
砖衬膨胀时,一方面通过摩擦力传递给炉壳侧壁,一方面通过上顶风口装置将力传递给炉壳,尤其是当风口下方预留的膨胀缝过小或陶瓷杯采用压杯的形式时,这种对炉壳的向上膨胀力F更加明显,该高炉陶瓷杯与压杯间留有28mm膨胀缝,压杯与风口组合砖间有25mm膨胀垫,风口中套与下方组合砖间留有65mm缓冲缝,合计118mm,大块刚玉预制件在1500℃x5小时的线膨胀率为1%,杯壁总高7822mm,正常情况下预留的膨胀缝是够的。
该高炉投产.3-4年时有中套上翘现象,更换中套时对下方耐材进行了打磨,不能确定是耐材异常膨胀,膨胀力向上和向下同时作用,但由于向上膨胀力F与向下膨胀反力F’到炉壳的力臂分别为7362和8990mm,最大力臂差1628m左右,导致炉壳带动炉底板边缘向上位移的力有限,

有可能会使风口上翘(铜中套相对较软且是仅靠90mm宽的密封面安装在大套内的)而释放掉膨胀应力F。该4000m³高炉生产10年半钻电偶孔时用内窥镜观察发现有0.9mm炭砖缝,见图7,但未见耐材有“异常膨胀”。

同厂的2500m³高炉,炉体结构、材质与4000m³高炉相同,高炉停炉大修调查中发现,陶瓷杯残存不多,炭砖除了有的表面被侵蚀或表面粉碎外,未见有“异常膨胀”,见图8。

同厂的2500m³高炉,碱金属、锌等有害元素负荷不低于4000m³高炉,见表1、表2,也有中套上翘现象,生产了13年7个月没有发生炉底板边缘上翘现象,不能說明有害元素是炉底板边缘上翘的主要原因。


3.3 “活荷载”一炉売受热后的膨胀应力Q2k
高炉开炉后,炉壳受热后承受膨胀应力,导致炉底板径向和炉壳周向膨胀,如果炉底板径向膨胀量大于炉壳周向膨胀量的1/π倍(周向膨胀量约24mm),则可能造成少量的边缘上翅,Q2k与ΔD/ΔL正相关。
温度变化所引起的伸长量:ΔL=α(t2-t1)L

根据图纸可以看出,该高炉为自立框架式薄壁高炉,整座高炉坐落于高炉基础耐热混凝土基墩型钢HM250X175之上。炉底环板(t=65)和炉底板(t=25)平铺在混凝土基墩的H型钢骨架上面,炉底板径向膨胀和炉壳周向膨胀除了相互约束,基本没有其他约束,实际炉底板和炉壳的温度、热膨胀率均接近。并且开炉后炉壳温度基本保持稳定,因此这种膨胀在开炉后基本保持不变,热应力早已通过少量的形变释放了。实测炉身处上涨值略大于炉底板边缘上翘值,这是开炉后炉壳温度变化引起的轴向膨胀。如果炉底板和炉缸壳体的温度、热膨胀率不同,炉底板径向膨胀量大于炉壳周向膨胀量的1/π倍,则可能造成少量的边缘上翘。

3.4 “恒荷载”一炉壳及其附属物的重力Gk
现代高炉一般为自立式框架结构,炉壳自重及其固定在炉壳上的冷却壁、镶砖、内衬耐材、炉喉钢砖、风口大中小套、下料罐、炉顶设备等,给炉壳一个向下的重力,见表3,它可以抵消一部分使炉壳向上的纵向提升力,该4000m³高炉这个重力开炉初期约Gk0=6055t,随着炉役延长,内衬侵蚀和冷却壁磨损,这个重力逐渐减小,按照目前内衬和冷却壁等磨损失重估算,见图10和表3,重力已减小到Gk2=4465t。


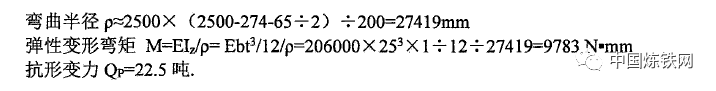
3.5“活荷载”一炉底板抗形变力Qp


综上所述,炉底板上翘是各种复杂的因素综合作用的结果。正常生产时炉壳受到的向上提升力包括:炉内气体压力产生的向上提升力,炉缸侧壁耐材膨胀导致的竖向膨胀力以及炉底板受热后的膨胀应力等。炉壳上升需要克服的阻力有:炉壳以及固定在炉壳上的设备和耐材的重力,炉底板抗形变力等。

因此,最终传递给炉底封板边缘的向上提升力应为:1)+2)-4)-5)荷载效应组合。
M厂4000m³高炉开炉时:S0=5809-6055-22.5=267.5t,不会上翘;
侵蚀后,炉缸直径2r2=14.5m时:S2=6702-4465-22.5=2214.5t,则会上翘;
即使是冷却壁本体没有侵蚀、炉缸侧壁仅侵蚀150mm,炉缸直径2r1=13.8m时,炉内气体产生的纵向力:
Q1k=2N1xπxrq=6070t,炉壳及其附属物的重力Gk1=5003t,S1=6070-5003-22.5=1044.5t,则会上翘。
通过上述分析,M厂4000m³高炉内气体压力产生的上提力Q1k大于髙炉炉壳及其附属物的重力Gk与炉底板抗形变力Qp和,荷载效应组合值S约为1044.5t~2214.5t,会上翘。
因此,该高炉炉底板边缘上翘主要原因是,随着高炉大型化、炉衬薄壁化、炉顶压力的提高,炉内压力作用于炉顶封罩、炉身等处向上的力通过炉壳对炉底板边缘造成上升的力变大,炉衬薄壁化后作用于炉壳的向下的重力减小,并随炉役延长内衬侵蚀冷却壁磨损而变小,难以抵消炉内压力造成对炉底板边缘的上提力,而高炉大型化后炉底板直径变大其刚度又不够,抵抗形变的力不足,从而发生弹性变形和塑性变形而产生边缘上翘。
上述分析得到了实践证实,生产中实测到该高炉这个综合的提升力是存在的,在高炉休风时这个综合的提升力立即随风压变化,如图13、图14所示,高炉休风时提升力一般立即下降600~700吨左右,并且测得炉壳带动炉底板边缘也随之发生上下位移,休风时炉底板边缘落下几毫米,复风时上移回去,每次休复风均如此。

在提升力的持久作用下,炉底板将发生塑性变形,休风时盲板力消失,提升力随之降低,但降到一定值时停止下降,随着休风时间延长,由于在炉体重力持续作用下塑性变形的抗力变小,所以测得的提升力又开始下降,复风后测得的提升力又上升,但由于塑性变形的抗力存在,提升力不会立即回到原水平,而是慢慢上升到原水平。
4 处理措施
由图1知,该高炉投产后,到2015年炉底板边缘上翘达180mm左右,并继续缓慢上涨,且随高炉休复风而上下变化。目前炉底基本没有跑煤气现象,若一旦炉底煤气泄漏变大,处理难度会更大。炉底板上下来回变化,有可能造成底板疲劳开裂、塞焊孔脱焊、炭砖内衬损坏,引发严重事故。因此必须尽快控制炉底板上翘及上下变化,防止事故发生。
基于上节原因分析的结果,则降低炉内压力、增加作用于炉壳上的重力、增加炉底板刚度等会对炉底板边缘上翘产生有效的抑制作用。处理措施既要尽可能多的抵消上涨力,又要防止炉底板频繁上下位移,发生炉底板疲劳和内衬损坏。采取如下措施:
4.1 控制炉内压力,减小上涨力
首先2012年开始限制炉顶压力不超过225kPa,2014年通过上下部调剂发展两道气流,高炉压差由180降到170kPa左右,使热风压力不超过400kPa。
4.2 增加作用于炉壳上的重力,抑制炉底板继续上翅
如果在炉壳的某高度位置上増加一周配重,可以起到抑制上涨力的作用,但空间有限,且可能对炉壳造成损伤。
2015年在高炉基础上沿炉底封板一周(R9450~R处),采用化学植筋的方式埋一百多个M36~M42的螺栓,通过压板扣住炉底板边缘,利用螺栓抗拔力来平衡炉壳上涨力,从而抑制炉底板上翘。在压板下装少数测力压头,检测上涨力变化。一周锚栓可以抵抗炉壳的上涨力约1700t~2200t。这种结构基本不影响炉底板、炉壳温变热应力的释放。

由于炉缸段与炉底环板连接处所在园半径、测压头所在园半径、螺栓所在园半径不同,即力臂不同,所以力值亦有不同,计算得到测压头处S2=2415.5吨左右。
4.3 增加炉底板刚度
如果将炉底边缘环板与其下方基墩凹槽中的HM250X175型钢结构圆盘边缘焊接起来,相当于给厚度25mm的炉底板增加了加强筋,由平盖盲板变成正交加筋盲板,刚度加大,可有效抑制上题,且当炉底板温度变化时,作为加强筋的H型钢结构将随炉底板一起发生形变,释放掉炉底板的温变应力,这是比较理想的措施。但由于该炉炉底板上翘后,炉底温度传不到下方的H型钢,长久裸露在阴湿大气中的H型钢上翼缘已被严重腐蚀,与其辐板脱开,此方案未能实现。
4.4 防止炉底板回落
炉底板边缘已悬空,上下动态位移,不仅不利于传热,还容易造成炉内耐材损坏和炉底板疲劳失效。为此在高炉基础与上翘炉底板之间空隙内,利用导热性好流动性好的潘注料填实,暨防止炉底板回落,又将炉底板的热量传导给炉底板下的炉底水冷管。
4.5 处理效果
采取上述措施处理后,炉底板上翅趋势及上下位移得到抑制,已近四年时间,炉底板仍基本紧贴下面浇注料,炉底传热也得到改善,炉底板下2根一串的水冷管水温差上升0.1℃左右,炉底板下温度基本在50-60℃左右。但由于空间受限,埋设的螺栓直径稍小,抑制力偏小,加上动载变化,竖向上提力不均,局部有螺栓被拉断现象,采取及时补螺栓等措施处理,效果良好。
5 问题讨论
修改标准。目前国内高炉炉底出现跑煤气现象并不罕见,炉底板上翘也陆续出现,炉底板有时被称为“煤气封板”,值得商榷。笔者认为,高炉炉底板不仅起密封煤气作用,还作为高炉这个特大型压力容器的重要组成部分,承载炉内气体压力等的巨大盲板力作用。因此,现代高炉炉底板结构设计需要按压力容器结构改进,并在标准中加以明确规范,增加受力分析。
国内比较多见的高炉炉底板结构大致归纳为三类:一类是吸收七十年代前苏联技术发展起来的高炉炉底煤气封板结构,当时高炉容积小、炉衬厚、炉顶压力低(有的为常压),随着高炉大型化、炉衬薄壁化、炉顶压力的提高,这类炉底结构虽然进行了较大改进,但炉底跑煤气、炉体上涨现象等问题逐渐显现;第二类是八十年代吸收日本技术发展起来的高炉炉底板结构,由于理解和核算问题,薄壁化、更高炉顶压力下,炉底板上翘等问题逐渐出现;第三类是在炉底板下或炉底板上采用了加强结构,如将炉底水冷管安装在炉底板上方一定高度的位置,在炉底板到水冷管之间烧注较厚的钢筋耐热混凝土,增加了炉底板的刚度,甚至再在水冷管上加一层煤气封板,封板边缘与炉壳间采用弹性连接。还有的将炉底环板与下方的型钢连接,形成了类似加筋盲板的结构,亦增加了炉底板的刚度,或在基墩预埋螺栓固定,均抑制了炉底板上翘。



6 结语

1)高炉在炉内气压等因素作用下,高炉炉壳受到巨大的竖向提升力,由于高炉炉壳直接与炉底环板相连,而炉内气压、炉底耐材、液体渣铁等荷载主要作用于炉底板(t=25)上。边缘炉底环板上由炉壳传递来的向下的荷载远远小于炉壳的上涨力,从而拉动炉底环板上翘变形。随着高炉大型化、炉衬薄壁化、炉顶压力的提高,炉内压力作用于炉顶封罩、炉身等处向上的力,通过炉壳对炉底板边缘造成竖向提升力变大,炉衬薄壁化后,作用于炉壳的向下的重力减小,并随炉役过程内衬被侵蚀冷却壁被磨损而变小,难以抵消炉内压力造成对炉底板边缘的上升力,而高炉大型化后炉底板直径变大其刚度又不够,抵抗形变的力不足,各种荷载组合效应是高炉炉底板边缘上翘的主要原因,炉内气压对炉底板的巨大盲板力应予足够重视。
2)高炉炉底板上翘和跑煤气将加剧炉缸损坏,严重威胁长寿和生产安全,必须采取适当的有效措施。高炉设计时充分考虑炉壳竖向提升力的因素,采取合理的设计方案,炉底板不仅是煤气封板,要作为压力容器重要部分做承压设计,充分核算荷载组合效应值,采用合理的结构,如将炉底边缘环板与其下方的H型钢框架结构焊接起来,由平盖盲板变成正交加筋盲板,增加刚度,且炉底板可自由膨胀释放热应力。或采取更加合理的结构设计,修改标准,加以明确和规范。
3)适当控制原燃料中碱金属、锌、铅等有害元素的入炉含量;陶瓷杯采用自由杯形式,风口下方预留足够的膨胀缝,可以避免耐材膨胀造成炉底板上翘危害的担忧。
参考文献
[1]李洋龙,等.高炉炉底密封板上翘机理及预防措施[J].钢铁,2014,49(12):18.
[2]GB50567-2010,炼铁工艺炉壳体结构技术规范[S].
(责任编辑:zgltw)







