-
何能骥, 方宗旺, 陈小奇
( 宝钢股份公司 技术部, 上海 200941)
摘 要 在大量对比试验数据的基础上, 找出烧结矿转鼓指数( TI) 和低温还原粉化指数( RDI) 的JIS 与ISO 两种检验标准之间的相关关系, 并推导出两种标准检验结果的回归方程, 按此回归方程可进行两种标准之间的相互换算。
关键词 烧结矿;转鼓指数;低温还原粉化指数;检验标准;相关性
1 前言
宝钢一、二期烧结矿成品检验的试验设备及试验方法全套从日本引进, 烧结矿转鼓指数( TI)和低温还原粉化指数( RDI) 的检验均执行JIS 标准。而宝钢三期烧结矿物理性能的检验全部执行ISO 标准, 因此3 烧结的质量指标与1, 2 烧结无可比性, 给质量判定和生产调节带来不便。从发展角度来看, 检验标准将逐步向ISO 标准靠拢。一、二期检验设备也只能靠更新改造, 采用ISO 标准,但不能一步到位, 中间将会有一段很长的过渡期。为了便于一、二、三期烧结矿的质量比较, 制定考核指标及参加国际国内技术交流, 有必要进行两种标准的对比试验, 寻找两种标准的相关关系, 为此进行了试验研究。
2 试验条件
试验于1999 年至2000 年年初进行, 当时的匀矿配比、烧结操作指标及烧结矿理化性能同大生产条件, 试验样品直接从现场实地采集。
2 .1 试验样品的制备
( 1) 转鼓试验
从3 烧结成品皮带采集成品烧结矿约120 kg, 筛分后取10 ~ 50 mm 试样, 混匀后均分为二。其中1 份由三烧结成品试验装置筛分得10~ 40 mm 试样, 按10 ~ 16 mm 、16 ~ 25 mm 、25 ~40 mm 的粒度组成分三级, 按比例配成15 ±0 .15 kg的试样, 作为ISO 方法的试样。另1 份缩分得10 ~ 50 mm 试样23 ±0 .23 kg, 作为JIS 方法试样。
( 2) 低温还原粉化试验
采用烧结成品试验室生产样进行试验。将生产中采集的样品一分为二, 一份按JIS 标准制备试样, 即15 ~ 20 mm 试样500 g ;另一份按ISO 标准制备试样:先用12 .5 mm 筛子筛分, 大于12 .5 mm的试样小心地破碎至全部通过16 mm 的筛子, 然后混合所有样品, 再筛选出10 ~ 12 .5 mm的样品500 g 作为ISO 试样。
2 .2 检验试验条件
( 1) 转鼓试验JIS 与ISO 标准试验条件的比较见表1 。
( 2) 低温还原粉化率( RDI) 两标准试验条件的对比见表2 :


3 试验结果及分析
3 .1 转鼓试验
按两种标准分别进行试验, 将所得数据利用计算机进行回归计算, 得出TIISO 对TIJIS的回归直线方程为TIISO =0 .83 TIJIS +18 .93, 相关系数r =0 .84, 回归直线见图1 。

3 .2 低温还原粉化试验
同样, 按两种标准分别进行试验, 将所得数据利用计算机进行回归计算, 得到回归方程:RDIJIS=62 .9 -0 .48RDIISO, 相关系数r =0 .65, 回归直线见图2 。

4 验证试验
4 .1 TI 回归方程的验证
4 .1 .1 相关系数检验
通过计算机进行计算求得相关系数r =0 .84 。查相关系数表, 当n =50 时, r0 =0 .273, r>r0, 说明两种标准的转鼓指数具备配合最佳的回归直线模型条件, 且线性显著, 所以上面所建立的回归直线方程在置信度为95 %时, 具有实用价值, 两种标准的转鼓指数之间具有强相关关系。
4 .1 .2 F 检验
检验回归方程有没有实用价值的另一方法是对回归进行方差分析。通过计算F =119 .7276 。在F 分布表中, 查出Fα=4 .08 。由对比可以看出, 在置信度为95 %
时, F 远远大于Fα值, 证明TIISO 与TIJIS线性关系密切, 所建立的方程具有实用性。以上两种检验都证明回归方程具有实用性。
4 .1 .3 验证试验
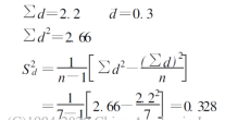
为了进一步检查所得回归方程的实用性,2000 年3 月又做了7 组试样的验证试验。比较分析利用回归方程TIISO =0 .83 TIJIS +18 .93 换算得到的TIISO计算值与TIISO实测值, 见表3 。

对计算值与实测值进行t 检定, 利用上表的7组数据应用t 检验方法进行下列计算。


查t 检定表t ( 6, 0 .05) =2 .447, 所以t 0 <t,说明根据回归方程计算得来的TIISO 计算值与实测值之间无显著差异。ISO 标准对平行样的要求是两平行样结果之差小于1 .4 %。从表中可以看出, 在7 组数据中,最大极差为1 .1 %, 最小极差为0 .1 %, , 平均极差为0 .3 %, 即TIISO 计算值的平均值比实测值低0 .3 %。试验证明:由回归方程把JIS 转鼓值换算成ISO 转鼓值较客观地反映了实测的ISO 转鼓值大小, 所建立的回归方程具有实用性。
4 .2 RDI 回归方程验证
4 .2 .1 相关系数检验
当样本数n =110 时, 相关系数临界值r0 <0 .25, 本对比试验结果中, RDIJIS与RDIISO相关系数为r =0 .65, 即r >r0, 说明相关性明显。
4 .2 .2 F 检验
在置信度为95 %时, F =79 .5 >F0 =1 .35, 说明相关性明显。
4 .2 .3 生产实际数据验证
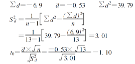
在1999 年10 ~ 12 月, 进行了13 次验证试验。比较分析利用回归方程RDIJIS =62 .9 -0 .48RDIISO换算得到的RDIJIS计算值与RDIJIS实测值, 见表4 。

利用上表的13 组数据应用t 检定进行下列计算。

查t 检定表, t ( 12, 0 .05) =2 .29, 所以 t0 <t( 12, 0 .05) 。说明根据方程计算的RDIJIS计算值与RDIJIS实测值之间没有显著差异。
按ISO 4696 -2 标准要求, 烧结矿低温还原粉化率平行样的测定结果之差的绝对值应小于5 .3 %。通过回归方程换算成RDIJIS计算值与实测值进行比较, 在13 组数据中最大差值为2 .5 %, 最小差值为0 .1 %, 平均差值为0.53 %。由此可见,回归方程式具有实用价值。
5 结论
(1) 烧结矿JIS 转鼓指数和ISO 转鼓指数线性关系显著, 所建立的线性方程TIISO =0 .83TIJIS+18 .93 可以用于本试验范围两标准测定结果的互相换算;通过验证试验, 在7 组数据中TIISO 计算值与实测值的最大差值为1 .1 %, 最小差值为0 .1 %, 平均差值为0 .3 %, 均达到ISO 标准试验重复性误差小于1 .4 %的规定范围;同时通过t 检定,回归方程计算的TIISO 计算值与实测值之间无显著差异, 可以满足当前烧结生产的要求。
(2) 烧结矿的RDI 用ISO 和JIS 两种检验标准方法试验, 两者相关性较好。线性方程RDIJIS=62 .9 -0 .48RDIISO 可以用于两种标准检验结果的换算;通过验证试验, 13 组数据中RDIJIS 计算值与实测值的最大差值为2 .5 %, 最小差值为0 .1 %, 平均差值为0 .53 %, 达到国际标准ISO 4696-2 试验重复性中平均差值绝对值小于5 .3 %的要求。
(3) 通过本试验, 解决了宝钢1 、2 烧结与3烧结烧结矿转鼓指数和低温还原粉化指数两质量指标可比性的问题, 便于国际国内技术交流、指标考核和生产调整, 为检验标准逐步向ISO 标准靠拢打下了良好的基础。
(责任编辑:zgltw)







