-
摘 要:通过对宣钢3号高炉布料制度的调整,煤气利用和压量关系得到不断改善,炉矿顺稳,为高炉各项技术指标提高奠定了基础。
关键词: 高炉 布料制度
1 前言
宣钢炼铁厂3号高炉自2011年开炉以来经过各方面的共同努力,各项经济技术指标不断攀升。炉顶采用并罐无料钟多环布料方式,高炉煤气流分布是通过布料来控制的,它直接影响到高炉的顺行稳定,影响到高炉指标的提高,因此有必要探索炉顶多环布料对煤气流影响。
稳定、合理的装料制度是长期探索、实践的结果,对无料钟高炉而言,合理装料制度是矿石在炉喉径向焦碳平台上的合理分布,引导煤气流合理分布,是保障高炉顺行稳定、煤气化学能和热能得到充分利用、保护炉衬提高炉龄的基础。不同高炉合理的布料制度是随原燃料特性、炉容大小、布料器结构、高炉冶炼制度不同而定。本文就以宣钢3号高炉为依据,摸索出适合宣钢3号高炉合理的布料制度。
2 布料制度理论探索
2.1无料钟多环布料形式
无料钟炉顶采用旋转式溜槽可倾动的 角和可旋转的ß角进行多环布料,由主控程序设定控制布料角度、环数。可见无料钟炉顶溜槽布料提高了布料灵活性,增加了调节手段。
2.2多环布料影响煤气流分布的主要因素
(1)布料环数
无料钟炉顶布料通过旋转溜槽进行的多环布料,其布料环数对炉内煤气流分布影响最大,合理的布料环数能够形成稳定焦碳平台,是煤气流稳定的基础。
(2)批重
扩大矿批可以使高炉径向形成稳定的平台,矿石层均匀分布在高炉径向上,减小了矿焦界面效应和炉料偏析对煤气流的影响,同时扩大矿批对边缘和中心煤气流分布同时具有压制作用,反则相反。
(3)其他影响因素
无料钟炉顶其它因素如:溜槽长度,回转速度、料线高低等也对煤气流分布有一定的影响,高炉操作不以其作为调节手段。
2.3布料计算
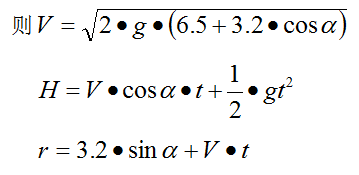
炉料从溜槽流出布在料面上,随着布料角度 的增大,炉料逐渐布向边缘,当炉料落点正好落在炉墙上时,此时的布料角度为最大布料角度。宣钢3号高炉的炉喉直径是8m,溜槽长度3.2m,截流至溜槽跟部高度为6.5m,料线1.5m,设炉料流出溜槽末端时速度为 ,溜槽末端至料面高度为 =5.5m。
通过计算确定 的最大角度为470,考虑到炉料下降过程中的阻力效应,所以实际布料时的最大布料角度应该大于470,实践表明,最大布料角度为480,同时也由上式可知当给定布料角度时,便可知道炉料的落点位置。综上所述,布料角度范围应该在150~480。如图1所示。另一方面,通过理论计算和实践得出以下数据,如表1布料计算所示。

从表1看出,实际布料时矿焦布料站位不能过多,一般以五圈为宜,前四圈的布料以形成合理的焦碳平台为合适。

2.4布料中矿焦角差的确定
无料钟布料时,炉料的物理性质如:对角、堆比重等对炉料落下速度有一定影响。因而矿石和焦碳在同一溜槽倾角下落时其堆尖位置会有较大差异。为保持同一落点上矿焦比能处在一个最佳值上,则采用同一批料中矿石与焦碳有角差的布料。角差的具体数值除了与炉料的物理性质有关外,还与溜槽长度、料线高低等有关。另一方面径向布料偏析也是影响这种角差的重要因素。
2.5确定合理矿下焦负荷
(1)边缘矿下焦负荷。粒度偏析是无料钟布料不可避免的偏析问题,由于在布料过程中粒度大的炉料滚向边缘,增加了边缘的透气性,因此在实际布料时边缘的矿下焦负荷应适当大于入炉焦碳负荷,降低边缘发展和炉墙的热负荷强度,有利于高炉长寿。
(2)中心矿下焦负荷。假设炉料非常均匀平坦的分布在高炉炉喉中,那么煤气分布就会均匀平坦。因此要发展中心煤气流,就必须使中心矿下焦负荷要低于入炉焦碳负荷。
综上所述,边缘矿下焦应大于等于焦碳负荷,中心矿下焦负荷小于焦碳负荷,以发展中心边缘两条煤气通路。

3 装料制度摸索
3.1装料制度的调整
在高炉外部条件正常,其它操作制度合理确定之后,装料制度就成为高炉能否稳定顺行的决定因素。合理的布料制度是炉内合理煤气流分布的前提,有关研究提出,高炉煤气流分布特征可用三个参数表达。即:
1、均衡度=边缘CO2%—中心CO2%
2、平坦度=最高CO2%—最低CO2%
3、边缘疏松度=最高CO2%—边缘CO2%

合适的装料制度,就必须保证炉况长时间高水平稳定顺行,并且具有较高的煤气利用率。宣钢3号高炉装料制度调剂以“稳”为主。开炉初期采用中心注焦的布料方式,取得了很好的效果;后续根据炉况发展,逐步取消中心注焦,在布料模式的选择上以“平台漏斗”理论为依据,采用大矿批,适当发展中心煤气流的同时,稳定边缘煤气,既保证炉况的顺行,又保证了较高的煤气利用率。
宣钢3号高炉的制度调整,一直坚持注重上下部制度匹配,合理控制边缘,找准中心的气流调整原则,根据实际的原燃料变化,结合自身炉内气流的分布情况微调中心和边缘的矿焦比例,以达到中心和边缘气流的更好制衡。平台+漏斗式布料要求矿石有足够的布料宽度,生产中通过调整矿石的布料宽度和位置来控制边缘平台的形状。通过调整边缘和中心的矿焦环数来平衡边缘和中心煤气。
3.2合理装料制度的判断
(1)合理的装料制度高炉炉顶十字测温曲线应呈W型,且中心温度高于边缘。中心高,两头稍微上翘的温度曲线尤其重要,如图2。
(2)煤气利用率要高,在原燃料满足生产要求的情况下,较高的煤气利用率是所希望的,但根据实际条件不同,它应该有一个合理的范围,利用率低增加燃料消耗,利用率高,高炉透气性较差。装料制度的是否合理直接影响煤气利用率的高低。相反,煤气利用率的高低直接反映装料制度是否合理。
(3)炉况顺行状况。高炉是否顺行状况是高炉操作制度的综合反映,装料制度是其重要的一个方面,一个好的装料制度对应一个好的操作炉型,而形成一个好的操作炉型是长期稳定的结果,一旦成形,应稳定发展。
4 结语
在宣钢3号2000m3高炉装料制度调整中,不难看出,掌握无料钟布料规律,探索出更合理的布料制度,是高炉长期顺行稳定的基础,是降低燃料比的必然条件。高炉顺行稳定,必须遵循打开中心稳定边缘的布料规律,大矿角需要大焦角做铺垫,防止边缘煤气过重,并强调高炉整体透气性。所以合理的布料制度可以提高炉况的稳定性,有利于各项技术指标的升高。
(责任编辑:zgltw)







